• Предмет: Алгебра
  • Автор: proua228datyk
  • Вопрос задан 3 года назад

Турист відійшов від табору на 8 км і зупинився відпо чити. Потім він продовжив рух зі швидкістю 6 км/год.
1) Задайте формулою залежність відстані s, на якій знахо

диться від табору турист, від часу t, який вiдрахо

вується після відпочинку.
2) Знайдіть значення Функції s, що відповідає значенню

аргументу t=1; 2; 4.​

Ответы

Ответ дал: GoldenVoice
2

Ответ:

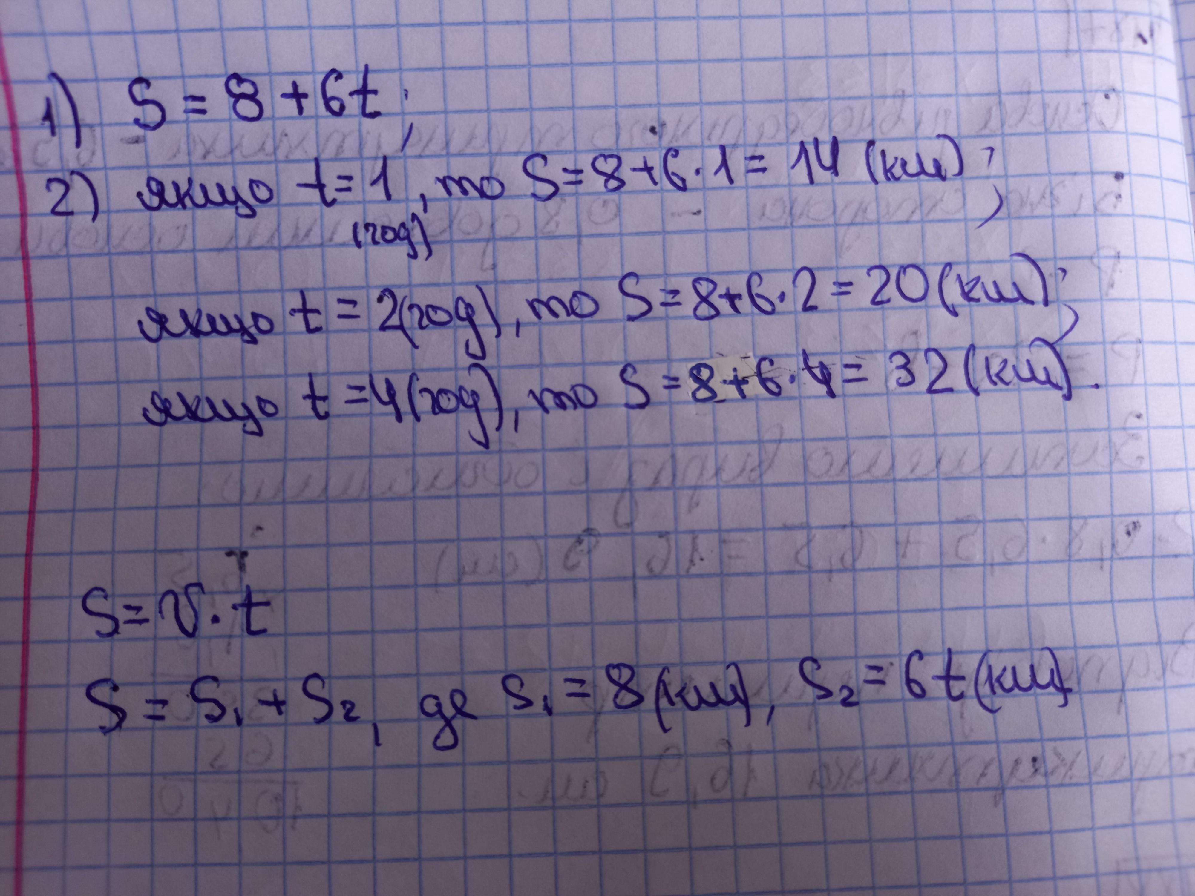
1) S(t) = 8 + 6t;

2) S(1) = 14, S(2) = 20, S(4) = 32

Объяснение:

1) Используя универсальную формулу

S = vt,

где S — расстояние, v — скорость, t — время, находим, что расстояние между лагерем и туристом задается законом

S(t) = 8 + 6t.

2) Подставляя в полученную формулу последовательно значения t = 1, t = 2 и t = 4, получим ответ:

S(1) = 8 + 6 = 14, S(2) = 8 + 6 \cdot 2 = 20, S(4) = 8 + 6 \cdot 4 = 32.

Ответ дал: aarr04594
1

Розв'язання Завдання додаю

Приложения:
Вас заинтересует