ДАЮ 40 балов!
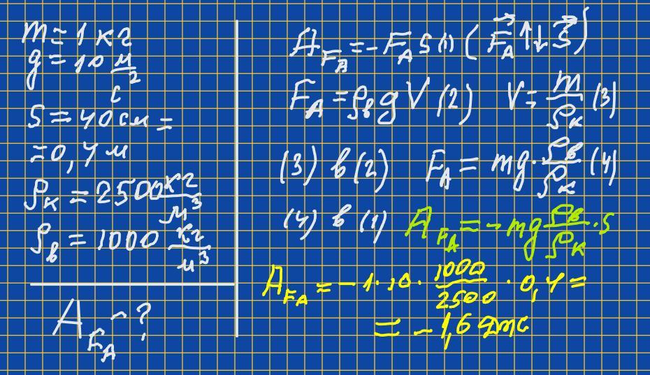
Скляна кулька масою 1 кг рухається вертикально вниз в посудині, заповненій водою.
Визначити роботу сили Архімеда при переміщенні кульки на 40 см. Густина води 1000 кг/м3
скла – 2500 кг/м3
Ответы
Ответ дал:
0
Відповідь: - 1,6 Дж
Пояснення:
Приложения:

Вас заинтересует
2 года назад
2 года назад
2 года назад
2 года назад
7 лет назад
7 лет назад