• Предмет: Математика
  • Автор: muslimyahyaev05
  • Вопрос задан 3 года назад

Добрый день.
Прошу помочь с решением задачи.

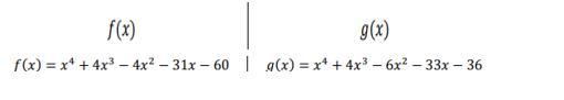
Найти НОД и НОК многочленов.

Приложения:

Ответы

Ответ дал: mic61
1

Ответ:

НОД(f(x), g(x))=(x-3)(x+4)

НОК(f(x), g(x))=(x-3)(x+4)(x²+3x+5)(x²+3x-+3)

Пошаговое объяснение:

Нужно разложить многочлены на множители.

Ну, т.к. оба многочлена с целыми коэффициентами, то его действительные корни являются делителями свободного члена.

Я их нашел методом подстановки (честно - подставлял в EXCEL).

Оба многочлена имеют по два одинаковых целых корня :

x₁=3; x₂=-4.

Следовательно имеем два одинаковых множителя:

(x-3)*(x+4);

Перемножаем их и получаем:

x²+x-12;

Делим исходные многочлены на полученное выражение любым известным нам способом (например в столбик), получим:

f(x)=x⁴+4x³-4x²-31x-60;

x⁴+4x³-4x²-31x-60 I x²+x-12

x⁴+x³-12x²              I x²+3x+5

  3x³+8x²-31x

  3x³+3x²-36x

          5x²+5x-60

          5x²+5x-60

                          0

g(x)=x⁴+4x³-6x²-33x-36

x⁴+4x³-6x²-33x-36  I x²+x-12

x⁴+x³-12x²                I x²+3x+3

   3x³+6x²-33x

   3x³+3x²-36x

           3x ²+3x-36

           3x ²+3x-36

                            0        

Получаем разложение на множителио такое:        

f(x)=(x²+x-12)*(x²+3x+5-)=(x-3)(x+4)(x²+3x+5);

g(x)=(x²+x-12*)(x²+3x-12)=(x-3)(x+4)(x²+3x+3)

На множестве действительных чисел "лучше" не разложишь, т.к. корни квадратных трехчленов комплексные.

Ну и теперь:

НОД(f(x), g(x))=(x-3)(x+4);

НОК(f(x), g(x))=(x-3)(x+4)(x²+3x+5)(x²+3x+3).


GoldenVoice: В многочлене g(x) квадратный трехчлен получается другой: x^2+3x+3, тот, который у вас, действительные корни имеет, не комплексные
mic61: Да, спасибо, уже исправил.
Вас заинтересует