Помогите пожалуйста решить номер 8. По алгебре. На тему: Область определения выражения с переменными.
Условие : укажите естественную область определения: смотри фото
Приложения:

BMW52:
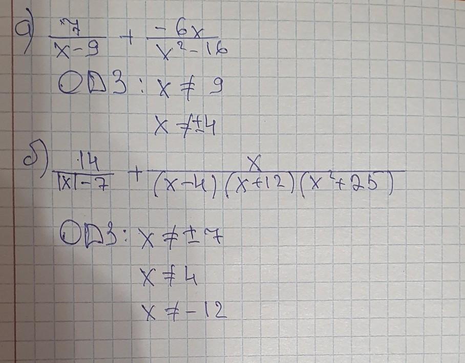
а) х не равен -4; 4; 9( тк на 0 делить нельзя, а при этих числах знаменатели обращаются в ноль)
Ответы
Ответ дал:
0
Ответ:
а) 9 и +-4
б)+-7 и 4 и -12
Объяснение:
даже и изменять ничего не надо. Тут главное , чтобы знаменатель не равнялся нулю , соответственно значения икса в числителе нас не касается. Поэтому область допустимых значений получается как на фото
Приложения:

Вас заинтересует
2 года назад
2 года назад
2 года назад
2 года назад
7 лет назад
9 лет назад