• Предмет: Алгебра
  • Автор: nadezdasirostan065
  • Вопрос задан 3 года назад

помогите пожалуйста решить методом сложения.​

Приложения:

Ответы

Ответ дал: Пеппер
0

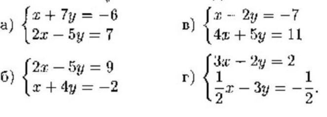
а)

х+7у=-6 (умножим на -2)

2х-5у=7

-2х-14у=12

2х-5у=7

    -19у = 19;  у=-1

х+7(-1)=-6;  х=7-6=1

Ответ: (1; 1)

б)

2х-5у=9

х+4у=-2 (умножим на -2)

2х-5у=9

-2х-8у=4

     -13у=13;  у=-1

х-4=-2;  х=4-2=2

Ответ: (2; -1)

в)

х-2у=-7 (умножим на -4)

4х+5у=11

-4х+8у=28

4х+5у=11

     13у=39;  у=3

х-2*3=-7;  х-6=-7;  х=6-7=-1

Ответ: (-1; 3)

г)

3х-2у=2 (умножим на -3)

0,5х-3у=-0,5 (умножим на 2)

-9х+6у=-6

  х- 6у=-1

-8х  =   -7;  х=7/8

3*7/8 -2у =2;  21/8 -2у = 2;  21-16у=16;  16у=5;  у=5/16

Ответ: (7/8; 5/16)


iramazurk: В последней системе у = 5/16
iramazurk: И в первой системе у = -1
iramazurk: В ответе у вас пропущен минус
Ответ дал: iramazurk
0

Объяснение:

А

х + 7у = -6 | * -2

2х - 5у = 7

-2х - 14у = 12

2х - 5у = 7

-19у = 19

2х - 5у = 7

1)

-19у = 19

у = 19 : (-19)

у = -1

2)

2х - 5у = 7

2х - 5*(-1) = 7

2х + 5 = 7

2х = 7 - 5

2х = 2

х = 2 : 2

х = 1

Ответ: (1; -1)

Б

2х - 5у = 9

х + 4у = -2 | * -2

2х - 5у = 9

-2х - 8у = 4

-13у = 13

2х - 5у = 9

1)

-13у = 13

у = 13 : (-13)

у = -1

2)

2х - 5у = 9

2х - 5*(-1) = 9

2х + 5 = 9

2х = 9 - 5

2х = 4

х = 4 : 2

х = 2

Ответ: (2; -1)

В

х - 2у = -7 | * -4

4х + 5у = 11

-4х + 8у = 28

4х + 5у = 11

13у = 39

4х + 5у = 11

1)

13у = 39

у = 39 : 13

у = 3

2)

4х + 5у = 11

4х + 5*3 = 11

4х + 15 = 11

4х = 11 - 15

4х = -4

х = -4 : 4

х = -1

Ответ: (-1; 3)

Г

3х - 2у = 2

1/2х - 3у = -1/2 | * -6

3х - 2у = 2

-3х + 18у = 3

16у = 5

3х - 2у = 2

1)

16у = 5

у = 5 : 16

у = 5/16

2)

3х - 2у = 2

3х - 2*5/16 = 2

3х - 10/16 = 2

3х = 2 + 10/16

3х = 2. 10/16

3х = 42/16

х = 42/16 : 3

х = 42/16 * 1/3

х = 14/16 * 1/1

х = 14/16

х = 7/8

Ответ: (7/8; 5/16)

Вас заинтересует