Ответы
Ответ:
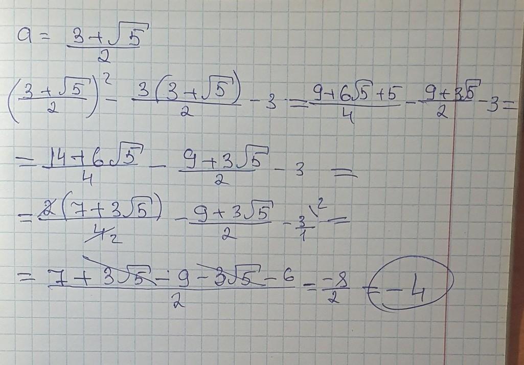
-4
Объяснение:
не то что сложно , но заморочиться пришлось . У нас есть выражением с неизвестным "а" , которое равняется нулю , значит через него мы сможем его выразить. С полученным квадратным уравнением у нас появляются аж два корня , когда нам нужен только один. Поэтому каждый мы проверим. Найдя значение "a" мы уже сможем ответить на наш пример.
Для этого мы раскрываем квадратные скобки , к числителю применяем формулу сокращённого умножения , со второй дробью мы просто распределим множитель 3. Далее в первой дроби выносим двойку и сокращаем со знаменателем , соединяем обе дроби. Внимание! Вторая дробь при слиянии записывается со скобкой , а при её раскрытии знаки в ней меняются на противоположные , поэтому 9+√3 превратилось 9-√3 . Далее корни просто сокращаются и найти ответ не составит труда.

