• Предмет: Математика
  • Автор: bezobrazie228
  • Вопрос задан 3 года назад

не знаю как сократить или может домножить на что...​

Приложения:

Ответы

Ответ дал: NNNLLL54
1

Ответ:

Применяем правило извлечения корня из дроби

  \bf \sqrt{\dfrac{x}{y}}=\dfrac{\sqrt{x}}{\sqrt{y}}\ ,\ \ \ \ y\ne 0\ .

\sqrt{2,1\cdot 1,9}\cdot \Big(\sqrt{\dfrac{19}{21}}-\sqrt{\dfrac{21}{19}}\Big)=\sqrt{2,1\cdot 1,9}\cdot \Big(\dfrac{\sqrt{19}\cdot \sqrt{19}-\sqrt{21}\cdot \sqrt{21}}{\sqrt{21}\cdot \sqrt{19}}\Big)=\\\\\\=\sqrt{\dfrac{2,1\cdot 1,9\cdot 100}{100}}\cdot \Big(\dfrac{19-21}{\sqrt{21}\cdot \sqrt{19}}\Big)=\dfrac{\sqrt{21\cdot 19}}{\sqrt{10\cdot 10}}\cdot \dfrac{-2}{\sqrt{21\cdot 19}}=\dfrac{-2}{10}=-\dfrac{1}{5}=\bf -0,2


bezobrazie228: благодарю
Ответ дал: aarr04594
0

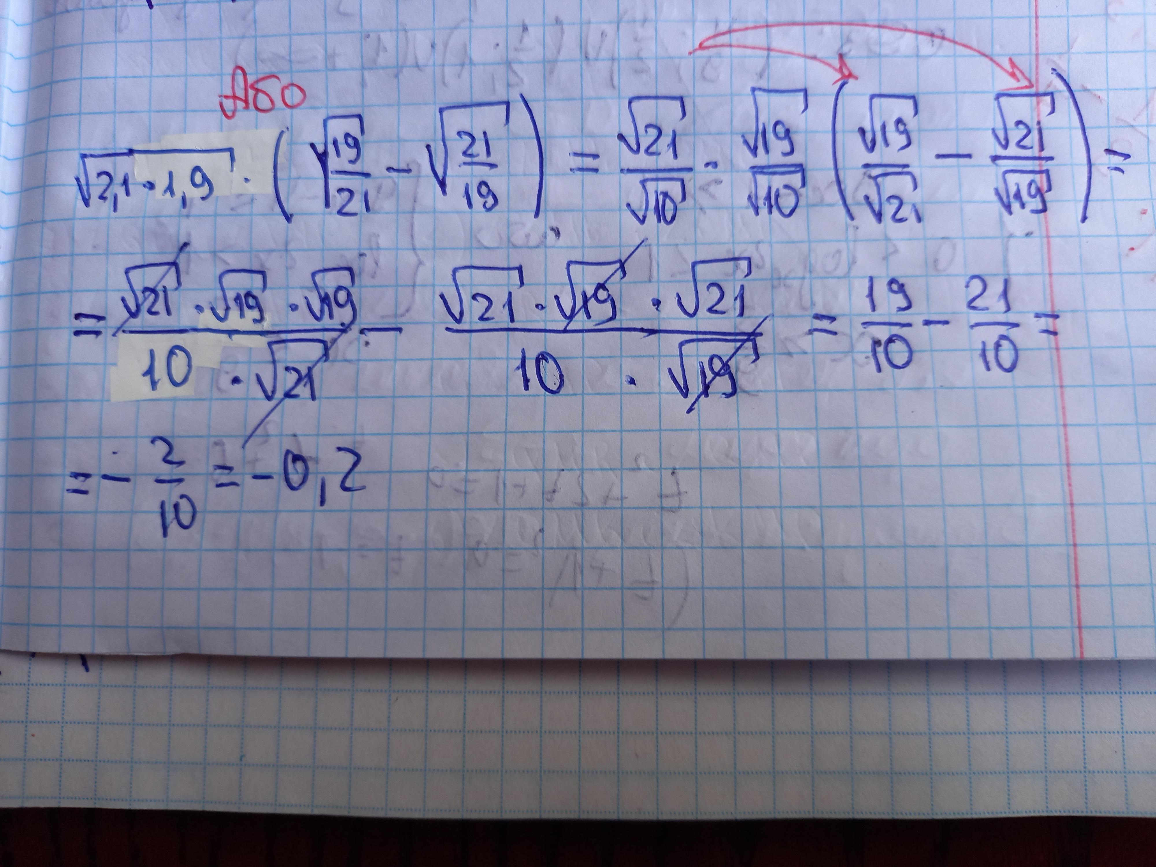
Відповідь -0,2.

########

Приложения:
Вас заинтересует