• Предмет: Физика
  • Автор: Аноним
  • Вопрос задан 3 года назад

Помогите надо оч даю 20 баллов!!

Приложения:

etsam: нужен перевод

Ответы

Ответ дал: zybkov1950
0

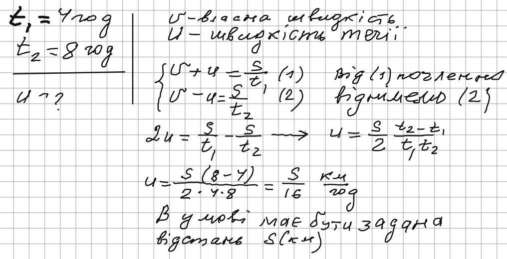
Відповідь: Див. додаток

Пояснення:

Приложения:
Вас заинтересует