• Предмет: Физика
  • Автор: Аноним
  • Вопрос задан 3 года назад

Помогите оч надооо даю 15 баллов!!!

Приложения:

etsam: я бы ответил , но не совсем понимаю задачу.

Ответы

Ответ дал: zybkov1950
0

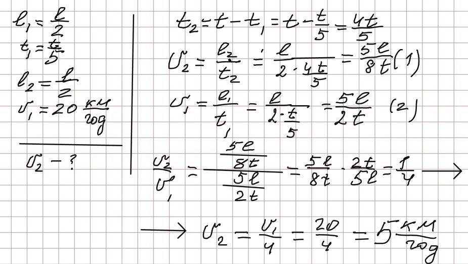
Відповідь:  5 км/год

Пояснення:

Приложения:
Вас заинтересует