• Предмет: Математика
  • Автор: muratmelikbayev30
  • Вопрос задан 3 года назад

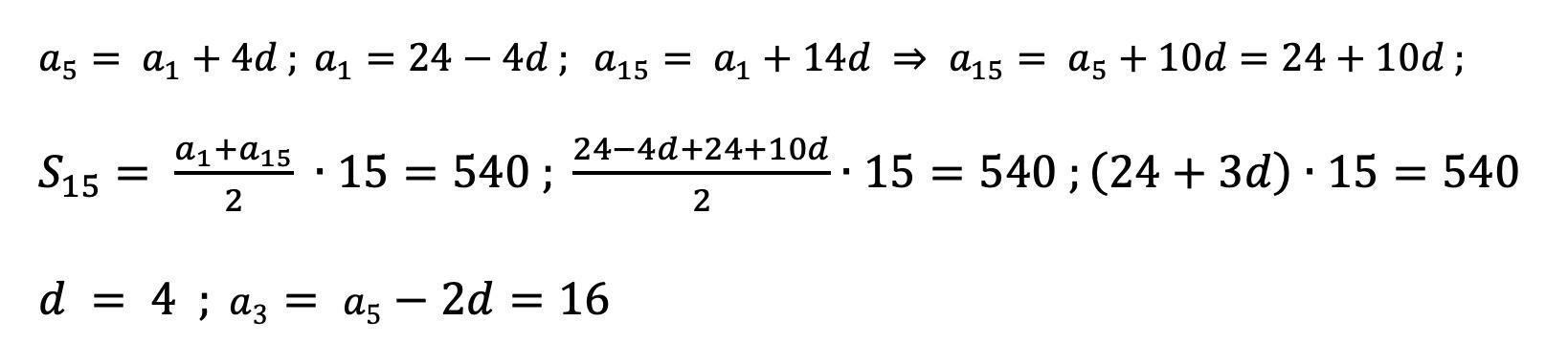
16. Сумма первых пятнадцати членов арифметической прогрессии равна 540. Найдите третий член данной прогрессии, если пятый ее член равен 24.

забыл​

Приложения:

Ответы

Ответ дал: YaMaestro
1

Відповідь:16

Покрокове пояснення: на фото нижче.

Приложения:
Ответ дал: antonovm
1

Ответ:

16 ...........................................

Пошаговое объяснение:

Приложения:
Вас заинтересует