• Предмет: Алгебра
  • Автор: lafornarina
  • Вопрос задан 3 года назад

РЕШИТЕ УМОЛЯЮЮ
срочно надо !!!!!!!

Приложения:

lafornarina: ток ответ НЕ сюда присылать
lafornarina: скиньте решение в лс по номеру телефона.
lafornarina: 8-988-518-18-13 куда угодно можно
lafornarina: ПОЖАЛУЙСТА!!!!

Ответы

Ответ дал: olgaua64
0

Відповідь:

Пояснення:

Приложения:
Ответ дал: Universalka
1

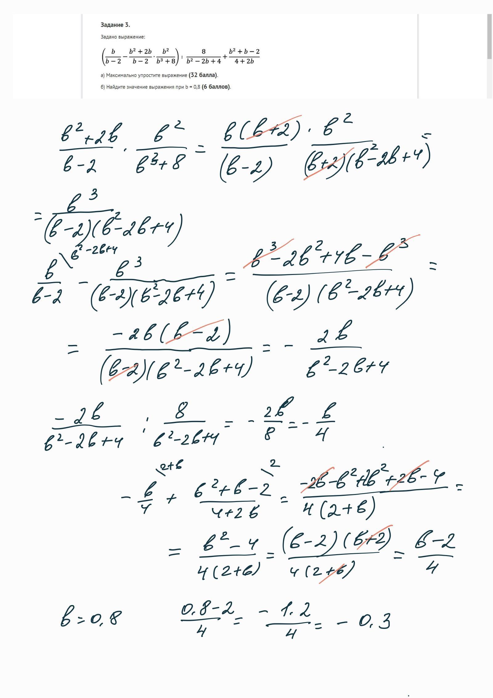
\displaystyle\bf\\1)\\\\\frac{b^{2} +2b}{b-2} \cdot\frac{b^{2} }{b^{3} +8}=\frac{b\cdot(b+2)}{b-2}  \cdot\frac{b^{2} }{(b+2)\cdot(b^{2} -2b+4)} =\frac{b^{3} }{(b-2)(b^{2}-2b+4) } \\\\\\2)\\\\\frac{b}{b-2}-\frac{b^{3} }{(b-2)(b^{2}-2b+4) } =\frac{b\cdot(b^{2} -2b+4)-b^{3} }{(b-2)(b^{2}-2b+4) }  =\\\\\\=\frac{b^{3} -2b^{2}+4b-b^{3}  }{(b-2)(b^{2} -2b+4)} =\frac{-2b\cdot(b-2)}{(b-2)(b^{2} -2b+4)} =-\frac{2b}{b^{2} -2b+4} \\\\\\3)

\displaystyle\bf\\-\frac{2b}{b^{2} -2b+4} :\frac{8}{b^{2} -2b+4} =-\frac{2b}{b^{2} -2b+4} \cdot\frac{b^{2} -2b+4}{8} =-\frac{b}{4} \\\\\\4)\\\\\frac{b^{2}+b-2 }{4+2b} -\frac{b}{4} =\frac{b^{2}+b-2 }{2\cdot(2+b)} -\frac{b}{4} =\frac{(b^{2}+b-2)\cdot 2-b\cdot(2+b) }{4(2+b)} =\\\\\\=\frac{2b^{2} +2b-4-2b-b^{2} }{4(2+b)} =\frac{b^{2} -4}{4(2+b)} =\frac{(b-2)(b+2)}{4(2+b)} =\frac{b-2}{4}

\displaystyle\bf\\b=0,8\\\\\\\frac{b-2}{4} =\frac{0,8-2}{4} =-\frac{1,2}{4} =-0,3

Вас заинтересует