• Предмет: Физика
  • Автор: daundeadinside228
  • Вопрос задан 3 года назад

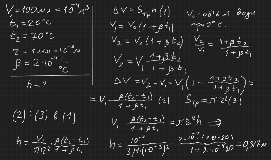
Колба об’ємом 100 мл заповнена вщерть водою і щільно закрита корком, крізь який пропущена відкрита з обох боків трубка. На яку висоту підніметься вода у трубці при підвищенні температури від 20 до 70 C? Внутрішній радіус трубки 1 мм, температурний коефіцієнт об’ємного розширення води β = 2 ∙ 10−4 °С −1 . Теплове розширення колби не враховуйте.​

Ответы

Ответ дал: zybkov1950
3

Відповідь: ≈ 31,7 см

Пояснення:

Приложения:
Вас заинтересует