Ответы
Ответ дал:
1
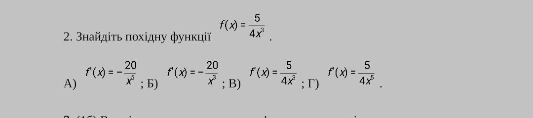
У варіантах відповідей немає такого. Десь описка. Мабуть в умові .
Приложения:

Вас заинтересует
2 года назад
2 года назад
2 года назад
2 года назад
7 лет назад
7 лет назад
9 лет назад