• Предмет: Физика
  • Автор: mdmitrievna434
  • Вопрос задан 3 года назад

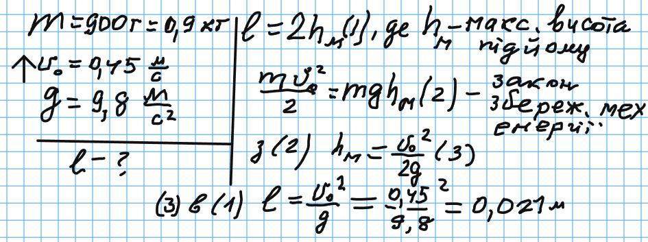
кулька масою 900 г кинули вгору зі швидкістю 0,45 м/с. який шлях пройде кулька за час польоту?​

Ответы

Ответ дал: zybkov1950
0

Відповідь: ≈ 2,1 см

Пояснення:

Приложения:
Вас заинтересует