• Предмет: Физика
  • Автор: vzhonovska
  • Вопрос задан 3 года назад

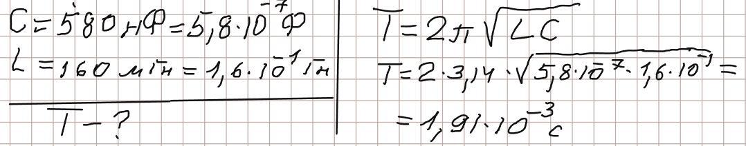
Визначити
період
період
2 вільних електромагнітних
коливань у контурі, що складається з конденсатора
580 нФ і котушки індуктивністю 160
ємністю
мГн

Ответы

Ответ дал: zybkov1950
1

Відповідь: 1,91 мс

Пояснення:

Приложения:
Вас заинтересует