• Предмет: Алгебра
  • Автор: nastygor16
  • Вопрос задан 3 года назад

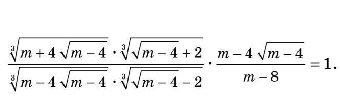
докажите равенство
Срочно 55 баллов

Приложения:

Ответы

Ответ дал: GoldenVoice
1

Объяснение:

Выражение под первым корнем в числителе:

m + 4\sqrt {m - 4}  = m - 4 + 4\sqrt {m - 4}  + 4 = {(\sqrt {m - 4}  + 2)^2},

Так как

\sqrt[3]{a} \cdot \sqrt[3]{b} = \sqrt[3]{{ab}},\ {a^m} \cdot {a^n} = {a^{m + n}},\ \sqrt[{2n + 1}]{{{a^{2n + 1}}}} = a,

то

\sqrt[3]{{m + 4\sqrt {m - 4} }} \cdot \sqrt[3]{{\sqrt {m - 4}  + 2}} = \sqrt[3]{{{{(\sqrt {m - 4}  + 2)}^2}(\sqrt {m - 4}  + 2)}} =\\\\= \sqrt[3]{{{{(\sqrt {m - 4}  + 2)}^3}}} = \sqrt {m - 4}  + 2.

Аналогично в знаменателе

\sqrt[3]{{m - 4\sqrt {m - 4} }} \cdot \sqrt[3]{{\sqrt {m - 4}  - 2}} = \sqrt {m - 4}  - 2.

Тогда значение выражения слева с помощью формулы разности квадратов:

\displaystyle\frac{{\sqrt {m - 4}  + 2}}{{\sqrt {m - 4}  - 2}} \cdot \displaystyle\frac{{{{(\sqrt {m - 4}  - 2)}^2}}}{{m - 8}} = \displaystyle\frac{{(\sqrt {m - 4}  + 2)(\sqrt {m - 4}  - 2)}}{{m - 8}} =\\\\= \displaystyle\frac{{{{(\sqrt {m - 4} )}^2} - {2^2}}}{{m - 8}} = \displaystyle\frac{{m - 4 - 4}}{{m - 8}} = 1.

Вас заинтересует