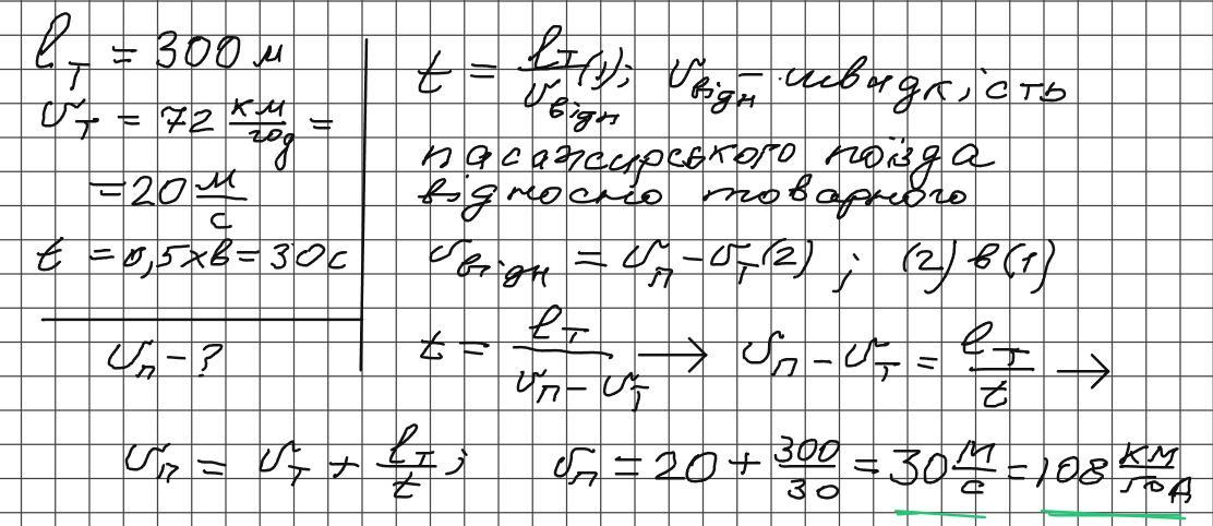
Пасажирський поїзд та товарний поїзд довжиною 300м рухаються в одному напрямі. Швидкість товарного поїзда 72 км/год. Кондуктор пасажирського поїзда, помітив, що повз товарний поїзд він проїхав за 0,5хв. Яка швидкість у пасажирського поїзда відносно землі? Швидкість виразити в км/год
Ответы
Ответ дал:
0
Ответ:
Дана:
Довжина мосту+довжина поїзда:
S = 300+200 = 500 м
Швидкість:
V = 72 км/год = 20 м/с
______________
t -?
t = S/V = 500/20 = 25 c
Ответ дал:
0
Відповідь: 108 км/год
Пояснення:
Приложения:

Вас заинтересует
2 года назад
2 года назад
2 года назад
7 лет назад
9 лет назад