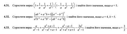
Ответы
Ответ дал:
1
Ответ:
⠀⠀⠀⠀⠀⠀⠀⠀⠀⠀⠀⠀⠀⠀⠀⠀⠀⠀⠀⠀⠀⠀⠀⠀⠀⠀⠀⠀
Приложения:



AlexMerkov:
Дуже сильно дякую вам! Якщо би в мене був ще кавун, то я дав би вам один.
Вас заинтересует
2 года назад
2 года назад
2 года назад
7 лет назад
7 лет назад
9 лет назад