• Предмет: Физика
  • Автор: Stepan090105
  • Вопрос задан 3 года назад

Терміново потібно виконати

Приложения:

Ответы

Ответ дал: zybkov1950
0

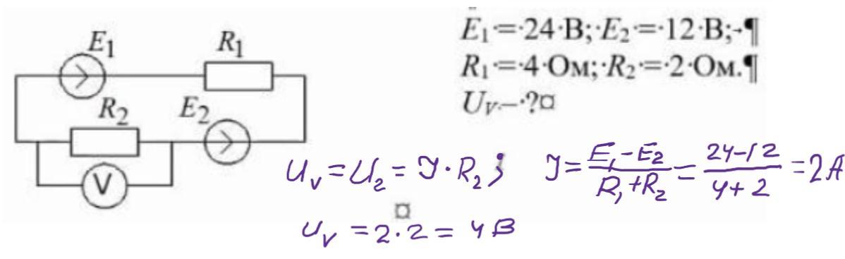
Відповідь: 4 В

Пояснення:

Приложения:
Вас заинтересует