• Предмет: Математика
  • Автор: msheka00
  • Вопрос задан 3 года назад

Срочно помогите упростить выражение!!ДАЮ 48 БАЛЛОВ

Приложения:

Ответы

Ответ дал: natalyabryukhova
0

Ответ:

\displaystyle \bf     \left(\frac{x+4}{x^3-4^3}+\frac{1}{4^2-x^2}\right):\frac{x+4}{4^3x-x^4}-  \frac{32(x+2)}{(x+4)^2} +7=3\\\\

Пошаговое объяснение:

Упростить:

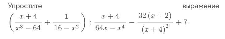
\displaystyle \bf     \left(\frac{x+4}{x^3-64}+\frac{1}{16-x^2}\right):\frac{x+4}{64x-x^4}-  \frac{32(x+2)}{(x+4)^2} +7

Для решения вспомним формулы сокращенного умножения:

a³ - b³ = (a - b)(a² + ab + b²)

a² - b² = (a - b)(a + b)

(a + b)² = a² + 2ab + b²

\displaystyle \bf     \left(\frac{x+4}{x^3-4^3}+\frac{1}{4^2-x^2}\right):\frac{x+4}{4^3x-x^4}-  \frac{32(x+2)}{(x+4)^2} +7\\\\

Сначала упростим выражении в скобке:

\displaystyle \bf     \frac{x+4}{x^3-4^3}+\frac{1}{4^2-x^2} = \\\\=\frac{x+4}{(x-4)(x^2+4x+16)}^{}+\frac{1}{(4-x)(4+x)}  =\\\\=\frac{x+4}{(x-4)(x^2+4x+16)}^{(4+x}-\frac{1}{(x-4)(4+x)} ^{(x^2+4x+16} =\\\\=\frac{x^2+8x+16-x^2-4x-16}{(x-4)(x^2+4x+16)(4+x)} =\\\\=\frac{4x}{(x-4)(x^2+4x+16)(4+x)}

Выполним деление. Вынесем в знаменателе делителя х за скобку:

\displaystyle \bf     \frac{4x}{(x-4)(x^2+4x+16)(4+x)}:\frac{x+4}{x(4-x)(16+4x+x^2)}=\\ \\=\frac{4x}{(x-4)(x^2+4x+16)(4+x)}:\frac{-(x+4)}{x(x-4)(16+4x+x^2)}=\\\\=-\frac{4x\cdot{x}(x-4)(16+4x+x^2)}{(x-4)(x^2+4x+16)(4+x)^2}=\\\\=-\frac{4x^2}{(4+x)^2}

А теперь все остальное:

\displaystyle \bf     -\frac{4x^2}{(4+x)^2}-\frac{32x+64}{(x+4)^2} +7^{((x+4)^2}=\\ \\=\frac{-4x^2-32x-64+7(x+4)^2}{(x+4)^2} =\\\\=\frac{-4(x^2+8x+16)+7(x+4)^2}{(x+4)^2} =\\\\=\frac{-4(x+4)^2+7(x+4)^2}{(x+4)^2} =\frac{3(x+4)^2}{(x+4)^2}=3

Вас заинтересует