• Предмет: Математика
  • Автор: jrjrhxud
  • Вопрос задан 3 года назад

напишите пожалуйста!!!!!​

Приложения:

Ответы

Ответ дал: ildar502020
0

Ответ:

Пошаговое объяснение:

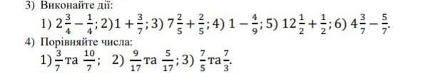
1)  2 3/4 - 1/4=2 2/4=2 1/2;

2)  1+3/7=1 3/7;

3)  7 2/5+2/5=7 4/5;

4)  1-4/9=9/9-4/9=5/9;

5)  12 1/2+1/2=12 2/2=13;

6)  4 3/7-5/7= 3 7/7+3/7-5/7=3 10/7 -5/7=3 5/7;

-------------

Из двух дробей с одинаковыми знаменателями больше та, у которой числитель больше:

1)  3/7<10/7;

2)  9/17>5/17;

Из двух дробей с одинаковыми числителями больше та, у которой знаменатель меньше:

7/5<7/3.

Вас заинтересует