• Предмет: Алгебра
  • Автор: Anik06
  • Вопрос задан 3 года назад

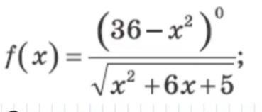
знайдіть область визначення функції

Приложения:

Ответы

Ответ дал: punkokiril
0

Ответ:

незнаюлаладададададададдадвдвдвдвдвдадвдвдвдад

Вас заинтересует