• Предмет: Алгебра
  • Автор: zdefence1324
  • Вопрос задан 3 года назад

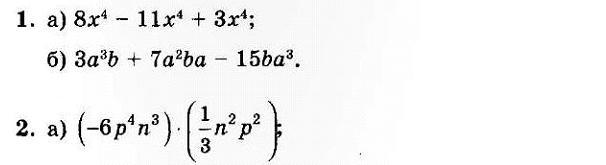
помогите пожалуйста все на фото

Приложения:

Ответы

Ответ дал: MrKavasaki
0

Ответ:

1) 0; 2) -2n5 06

Объяснение:

1) Сгруппируем подобные члены, вычислив их сумму и разность их коэффициентов

(8-11+3)x4

Вычислить сумму и разность

0x4

Любое выражение, умноженное на 0, будет равно 0!

Поэтому ответ - 0

2) Используем переместительный закон, чтобы изменить порядок членов

(-6 n3 p4) × (1/3 n2 p2)

Упростим выражение

-2n3 p4 n2 p2

Вычислим произведение

-2n5 p6

Вас заинтересует