Ответы
Ответ дал:
1
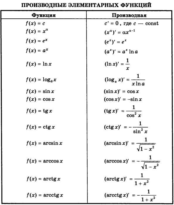
Надеюсь понятно, тут прилагаю файлом формулу
Приложения:


a7078598181:
спасибо, вот теперь я понял
Вас заинтересует
2 года назад
2 года назад
2 года назад
2 года назад
7 лет назад
9 лет назад