• Предмет: Алгебра
  • Автор: allalemisko7
  • Вопрос задан 3 года назад

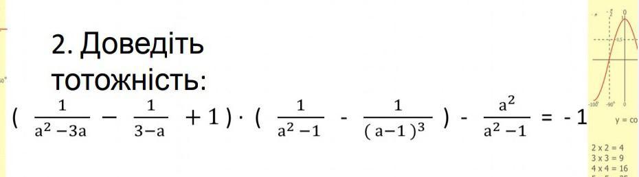
доведіть тотожность ​

Приложения:

Ответы

Ответ дал: NNNLLL54
3

Ответ:

Применяем формулы сокращённого умножения .

      \bf a^2-b^2=(a-b)(a+b)\ \ ,\ \ (a\pm b)^2=a^2\pm 2ab+b^2   .

\displaystyle \Big(\frac{1}{a^2-3a}-\frac{1}{3-a}+1\Big)\cdot \Big(\frac{1}{a^2-1}-\frac{1}{(a-1)^3}\Big)-\frac{a^2}{a^2-1}=\\\\\\=\Big(\frac{1}{a(a-3)}+\frac{1}{a-3}+1\Big)\cdot \Big(\frac{1}{(a-1)(a+1)}-\frac{1}{(a-1)^3}\Big)-\frac{a^2}{(a-1)(a+1)}=\\\\\\=\frac{1+a+a(a-3)}{a(a-3)}\cdot \frac{(a-1)^2-(a+1)}{(a-1)^3(a+1)}-\frac{a^2}{(a-1)(a+1)}=\\\\\\=\frac{a^2-2a+1}{a(a-3)}\cdot \frac{a^2-2a+1-a-1}{(a-1)^3(a+1)}-\frac{a^2}{(a-1)(a+1)}=

\displaystyle =\frac{(a-1)^2}{a(a-3)}\cdot \frac{a^2-3a}{(a-1)^3(a+1)}-\frac{a^2}{(a-1)(a+1)}=\\\\\\=\frac{(a-1)^2}{a(a-3)}\cdot \frac{a(a-3)}{(a-1)^3(a+1)}-\frac{a^2}{(a-1)(a+1)}=\\\\\\=\frac{1}{1}\cdot \frac{1}{(a-1)(a+1)}-\frac{a^2}{(a-1)(a+1)}=\frac{1-a^2}{(a-1)(a+1)}=\frac{-(a^2-1)}{a^2-1}=\bf -1\\\\\\\boxed{\bf -1=-1}

Тождество доказано .


Angelina598: Здравствуйте,помогите пожалуйста с алгеброй
Аноним: Помогите, пожалуйста мне! Дам лучший ответ)
Вас заинтересует