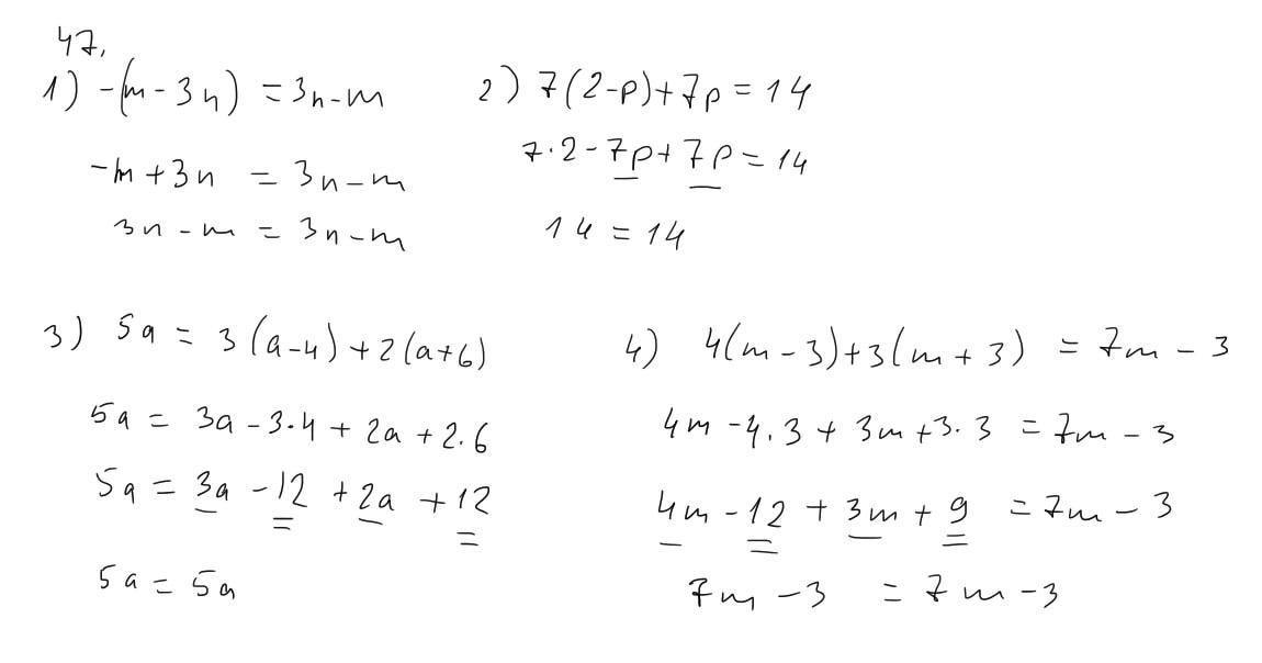
47. Доведіть тотожність: 1) -(m - 3n) - 3n - m; 2) 7(2 - p) + 7p = 14; 3) 5a = 3(a - 4) + 2(a + 6); 4) 4(m - 3) + 3(m + 3) = 7m - 3.
Ответы
Ответ дал:
6
Ответ:
типа того
Объяснение:
Приложения:

Вас заинтересует
2 года назад
2 года назад
2 года назад
2 года назад
7 лет назад
9 лет назад
9 лет назад