• Предмет: Алгебра
  • Автор: vzam
  • Вопрос задан 3 года назад

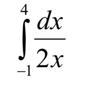
Визначений інтеграл. Допоміжть, 11клас

Приложения:

Ответы

Ответ дал: NNNLLL54
1

Ответ:

Определённый интеграл:   \bf \displaystyle \int\limits^a_b\, f(x)\, dx=F(x)\, \Big|_{b}^{a}=F(a)-F(b)   .

\displaystyle \int\limits^4_{-1}\, \frac{dx}{2x}=\frac{1}{2}\int\limits _{-1}^4\, \frac{dx}{x}=\frac{1}{2}\cdot ln|x|\, \Big|_{-1}^4=\frac{1}{2}\cdot (ln|\, 4\, |-ln|-1\, |\, )=\\\\\\=\frac{1}{2}\cdot (ln4-\underbrace{ln1}_{0})=\frac{1}{2}\cdot ln2^2=\frac{1}{2}\cdot 2\, ln 2=\bf ln2

Ответ дал: dasabobovnikova82
0

Объяснение:

молтлломаноиссрррррр

Вас заинтересует