• Предмет: Алгебра
  • Автор: vzam
  • Вопрос задан 3 года назад

Інтеграл, допоможіть 11 клас

Приложения:

Ответы

Ответ дал: manyny06
1

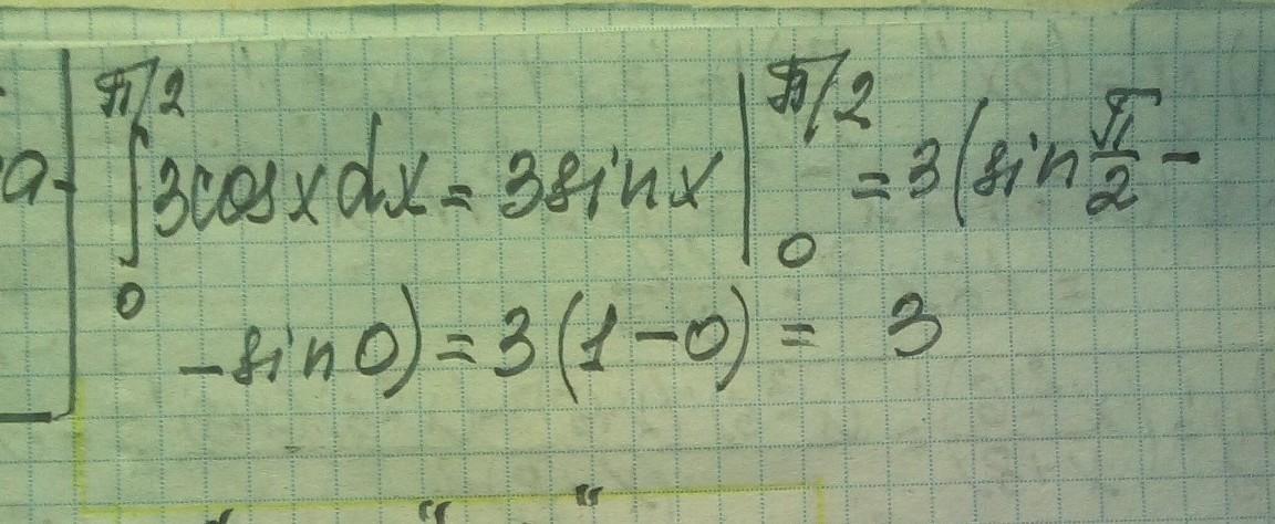
Ответ:

решение смотри на фотографии

Приложения:
Вас заинтересует