• Предмет: Алгебра
  • Автор: LiliiaD
  • Вопрос задан 3 года назад

Какие правильные варианты решения уравнения tg2x = −1?
Спасибо.

Приложения:

Ответы

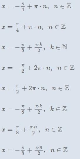
Ответ дал: Аноним
1

Ответ:

x = −пи/8+пи*k/2, k∈Z

x = −пи/8+пи*n/2, n∈Z

Объяснение:

tg2x = −1

2x = −пи/4+пи*k

x = −пи/8+пи*k/2, k∈Z

или можно поменять букву,это вообще ни на что не влияет

x = −пи/8+пи*n/2, n∈Z

Вас заинтересует