• Предмет: Алгебра
  • Автор: Аноним
  • Вопрос задан 3 года назад

поможіть будь ласка дуже срочно прошу даю 50 балов будь ласка ​

Приложения:

Ответы

Ответ дал: Znaykanalyne
0

Ответ:

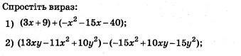
1)

(3x+9)+(-x^{2} -15x-40)=3x+9-x^{2} -15x-40=-12x-x^{2} -31

2)

(13xy-11x^{2} +10y^{2} )-(-15x^{2} +10xy-15y^{2} )=13xy-11x^{2} +10y^{2} +15x^{2} -10xy+15y^{2}=3xy+5x^{2} +25y^{2}

Вас заинтересует