• Предмет: Физика
  • Автор: clashofclansonelove1
  • Вопрос задан 3 года назад

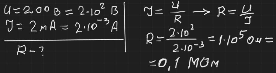
Який опір має тіло людини вiд долоні однієї руки до долоні другої руки, якщо при напрузі 200 В по ньому тече струм силою 2ма?
БУДЬ ЛАСКА ДОПОМОЖІТЬ ​

Ответы

Ответ дал: zybkov1950
0

Відповідь: 0,1 МОм

Пояснення:

Приложения:
Вас заинтересует