• Предмет: Алгебра
  • Автор: naviaccepter
  • Вопрос задан 3 года назад

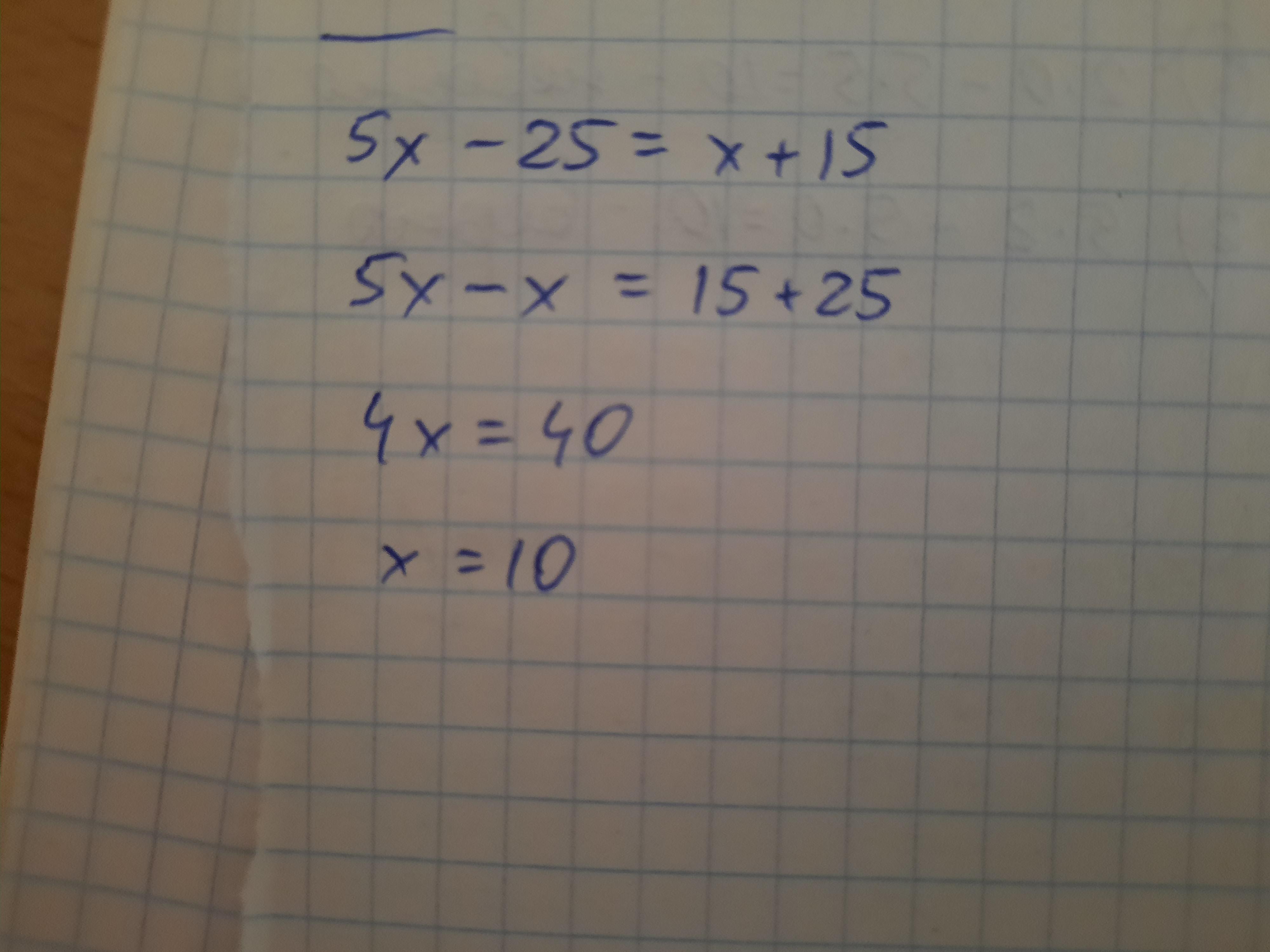
5x-25=x+15
Срочно!!!​

Ответы

Ответ дал: alexsbocharnekov
1

Ответ:

Объяснение:нмннмнмнм

Приложения:
Вас заинтересует