Допоможіть будь ласка. Дам 25 баллов
Розв'язати рівняння
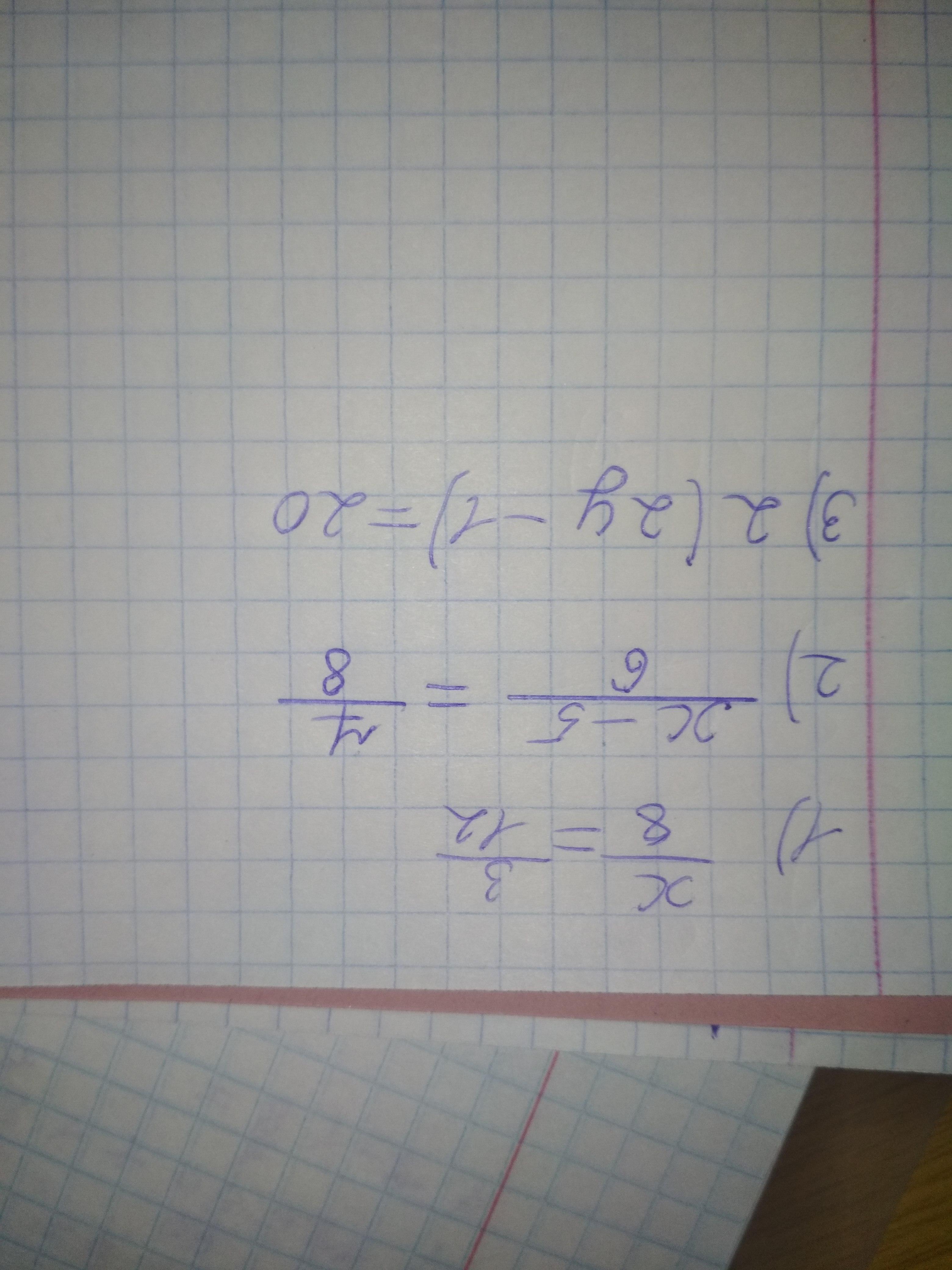
1) х/8 = 3/12
2) х-5/6 = 7/8
3) 2 ( 2y - 1 ) = 20
Приложения:

Ответы
Ответ дал:
0
Відповідь на запитання на листках
Приложения:

Вас заинтересует
2 года назад
2 года назад
7 лет назад
9 лет назад
Фото обрізалось