• Предмет: Алгебра
  • Автор: daytekodsupercellid
  • Вопрос задан 3 года назад

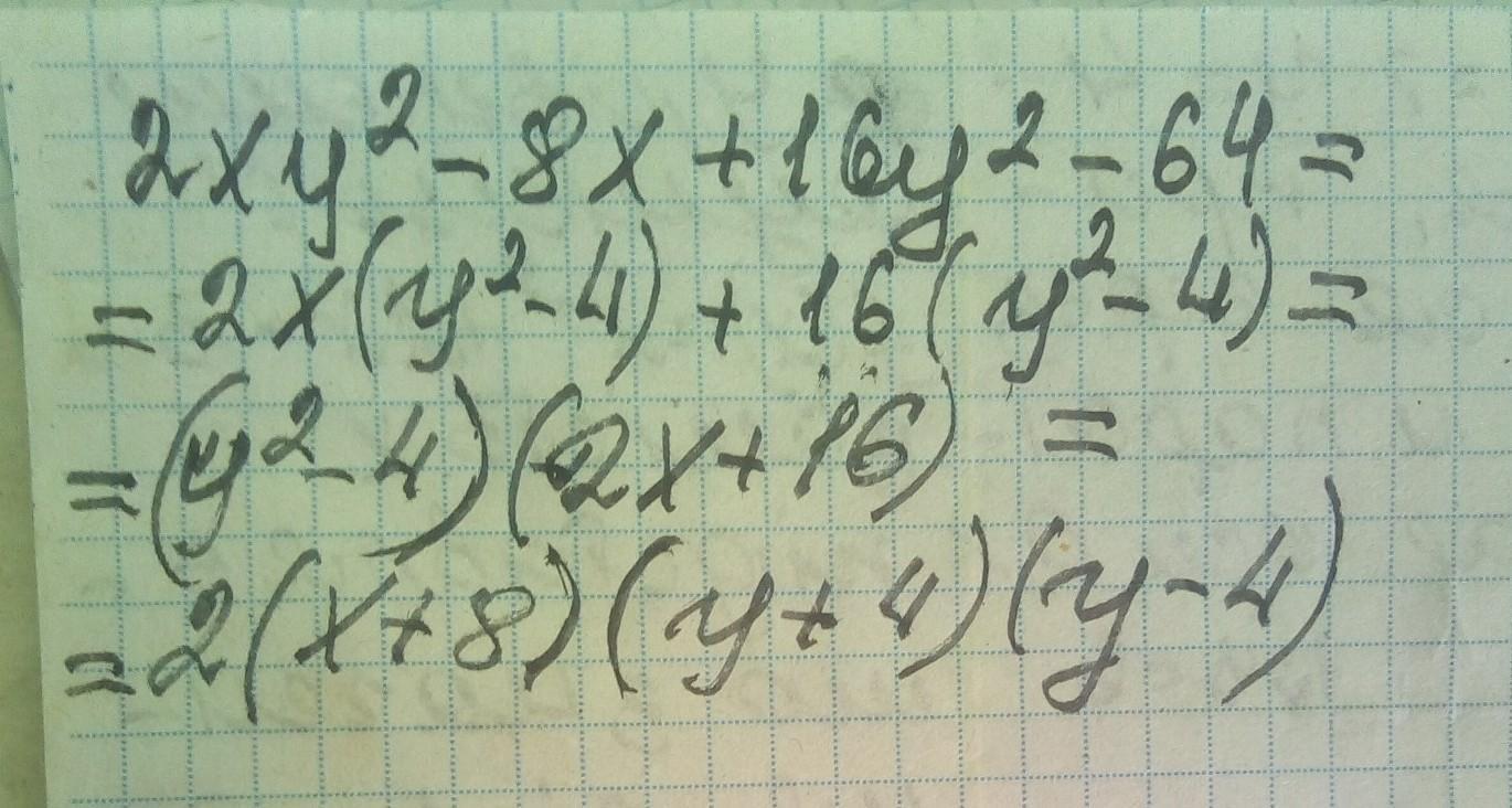
Розкласты на множники многочлена: 2ху²-8х+16у²-64

Ответы

Ответ дал: manyny06
0

Ответ:

решение смотри на фотографии

Приложения:
Ответ дал: nikitakrovlaydis
0

Відповідь:

вот держи)

Пояснення:

Приложения:
Вас заинтересует