• Предмет: Математика
  • Автор: milanasangerevskaya
  • Вопрос задан 3 года назад

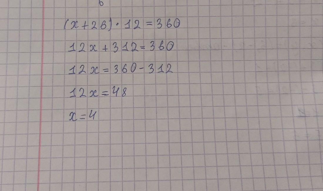
(х+26)×12=360
пожалуйста помогите

Ответы

Ответ дал: Kibertiger
4

Пошаговое объяснение:

решение уравнения смотри на фото

Приложения:

milanasangerevskaya: ты перепутала цифру, должно быть не 370 а 360
Kibertiger: да я уже заметил
Ответ дал: Artemovna00307
1
(Х+26)*12=360
12х+312=360
Приложения:
Вас заинтересует