Ответы
Ответ дал:
1
Доброго времени суток. Решение во вложении
Приложения:
Ответ дал:
0
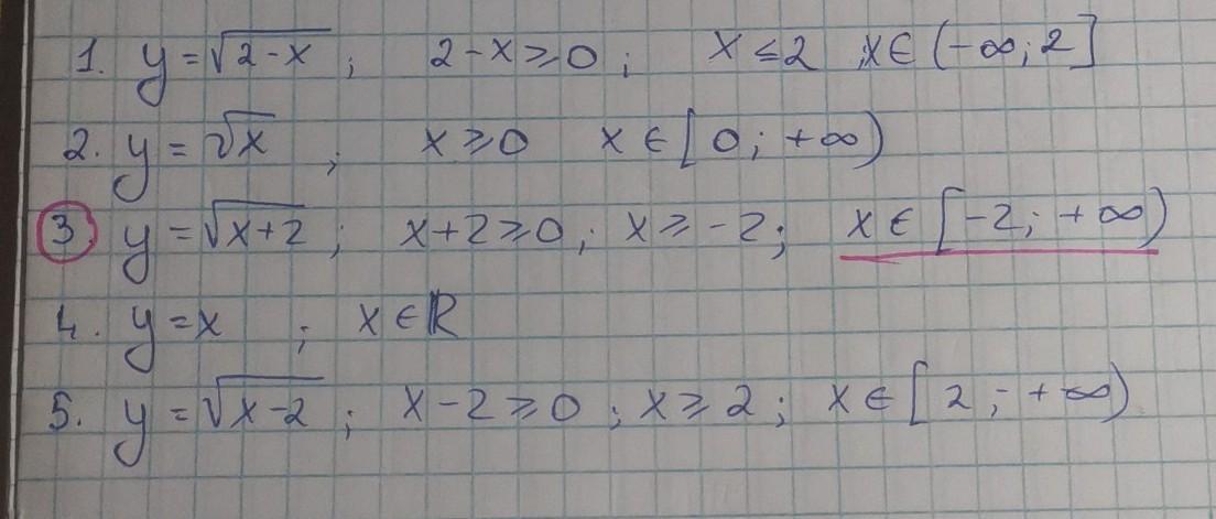
y = корень из x + 2
то есть третья функция, тк корень нельзя извлечь из отрицательного числа => минимальное число для x - (-2), а максимальное до бесконечности.
то есть третья функция, тк корень нельзя извлечь из отрицательного числа => минимальное число для x - (-2), а максимальное до бесконечности.
Вас заинтересует
2 года назад
2 года назад
2 года назад
8 лет назад
8 лет назад
9 лет назад