Ответы
                                            Ответ дал: 
                                                                                            
                                                    
                                                
                                                                                    
                                        
                                            
                                                
                                                
                                                
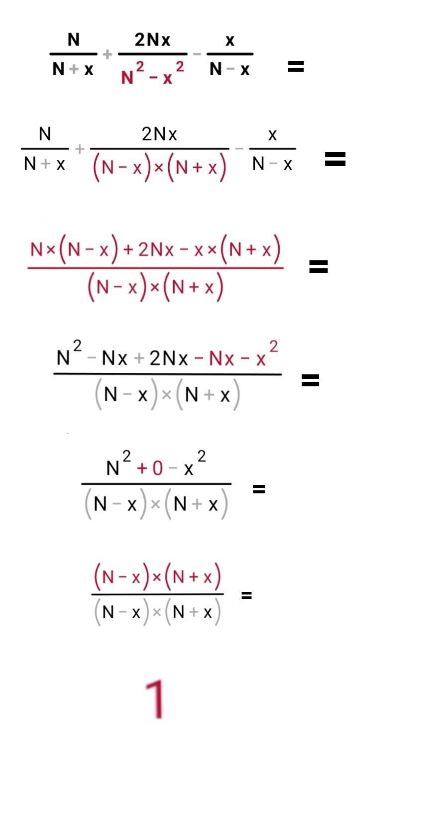
                                                    1
                                                
                                            
                                        
                                    Ответ:
.
Объяснение:
скачай себе Photomath
Приложения:
                    
                            
                    angelok15090809:
                    спасибо тебе огромное, очень помог!!!❤️
                
            Вас заинтересует
                
                        2 года назад
                    
                
                        2 года назад
                    
                
                        2 года назад
                    
                
                        9 лет назад