• Предмет: Математика
  • Автор: polinagolovko2011
  • Вопрос задан 3 года назад

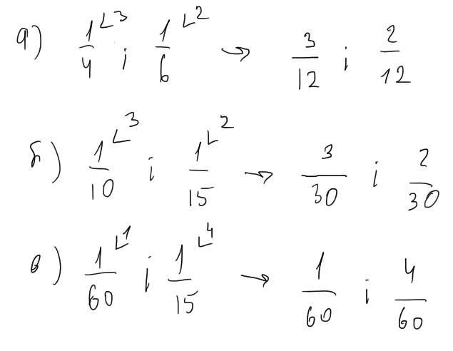
Зведи дроби до найменшого спільного знаменника.

a) 1/4 і 1/6

б) 1/10 і 1/15

в) 1/60 і 1/15

Ответы

Ответ дал: lisonok123tt
4

Ответ:

по-моему 4/6 я не очень помню


lisonok123tt: ой
lisonok123tt: не то
lisonok123tt: ща
lisonok123tt: а 5/12. Б 5/30. В 5,60
lisonok123tt: вроде в
polinagolovko2011: Дякую)
lisonok123tt: прости что написала там другой ответ
bobrik3000: дякую
Ответ дал: Warlock1
5

Ответ:

типа того

Пошаговое объяснение:

Приложения:
Вас заинтересует