• Предмет: Алгебра
  • Автор: ukrainelovesss
  • Вопрос задан 3 года назад

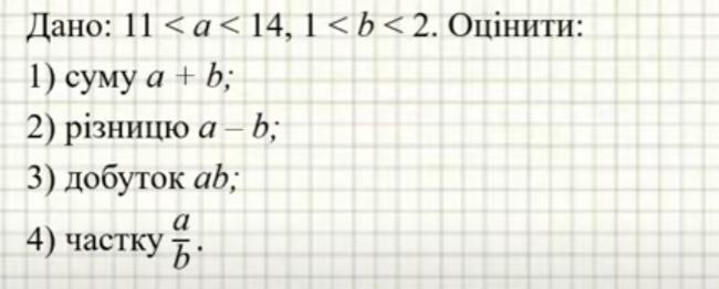
помоогииитееееее срочно

Приложения:

Ответы

Ответ дал: manyny06
0

Ответ:

решение смотри на фотографии

Приложения:
Вас заинтересует