• Предмет: Алгебра
  • Автор: ksywa8855
  • Вопрос задан 3 года назад

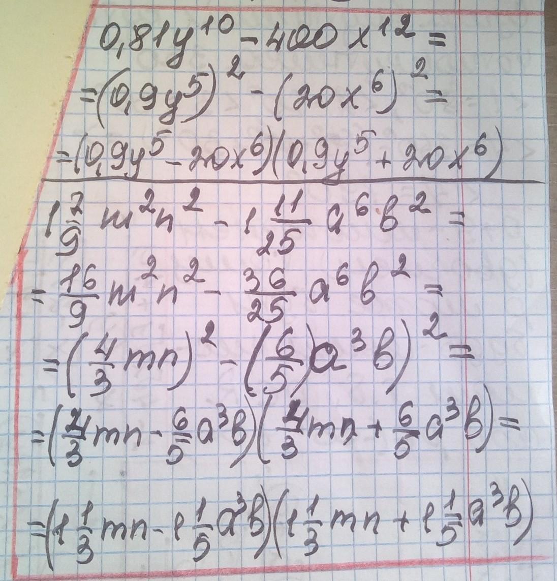
Розкладіть на множники: 1) 0,81y¹0-400x12= 7 2) 1,m²n²-1 zab2- 25​

Приложения:

ksywa8855: помогите пожалуйста.

Ответы

Ответ дал: manyny06
1

Ответ:

решение смотри на фотографии

Приложения:
Вас заинтересует