• Предмет: Математика
  • Автор: megwwlk
  • Вопрос задан 3 года назад

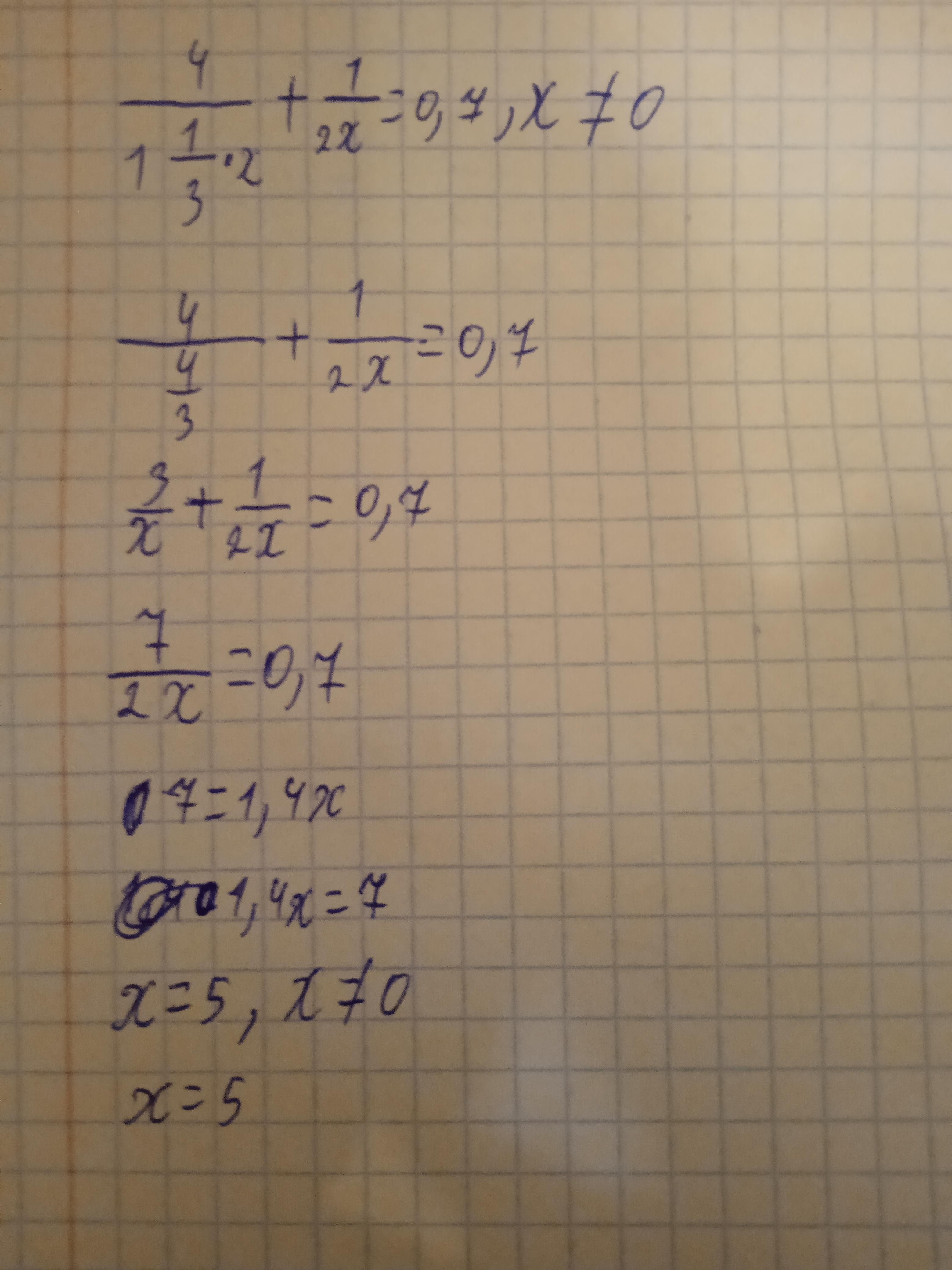
дам 20 баллов, ответ прислать пожалуйста на листке ​

Приложения:

Ответы

Ответ дал: MrDomino
1

Ответ:

x=5

Пошаговое объяснение:

Приложения:
Вас заинтересует