• Предмет: Алгебра
  • Автор: milinms
  • Вопрос задан 3 года назад

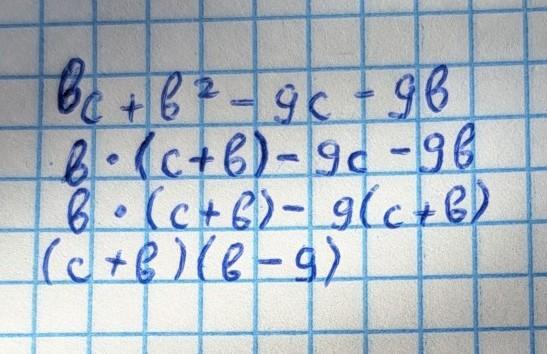
СРОЧНО ДАЮ 20 БАЛОВ !!!!!!!!!!!розкласти на множники bc+b²- 9c-9b​

Ответы

Ответ дал: suyarovaaziza06
1

Ответ:

відповідь на фото

рішення правильне✔️

Объяснение:

.

Приложения:

milinms: дякую!
suyarovaaziza06: Рада допомогти)
Вас заинтересует