• Предмет: Физика
  • Автор: bubblekvas1
  • Вопрос задан 3 года назад

Дам 100 балов за решение с объяснением

До полюсів джерела струму з ЕРС 6 В приєднали нагрівальний елемент опором 0,5 Ом. Сила струму в колі виявилася рівною 10 А. Чому дорівнює внутрішній опір джерела струму?​


Anisiya5765667474: я на вас жалобы кину
adiyevatalshyn: 69
dnkdnkalex2010: не надо
Anisiya5765667474: я уже кинула
maksimpilipko4: аддалышцоовл лома
maksimpilipko4: яяядяляшыщяя
maksimpilipko4: ну и кидай кидала
maksimpilipko4: ты лох
aminmirbolat: что за?
adiyevatalshyn: ¿¿

Ответы

Ответ дал: mathkot
56

Ответ:

Внутренние сопротивление равно 0,1 Ом

Объяснение:

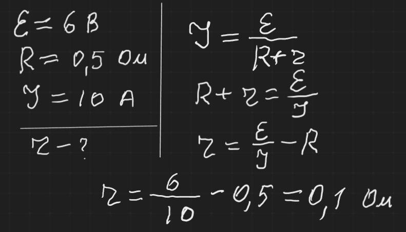
Дано:

\xi = 6 B

R = 0,5 Ом

I = 10 А

Найти:

r \ - \ ?

-----------------------------

Решение:

Закон Ома для полной цепи:

I = \dfrac{\xi}{R + r}

\xi = I(R + r)

\xi = IR + Ir \Longrightarrow \boldsymbol{ \boxed{ r = \frac{\xi - IR}{I}  } }

Расчеты:

\boldsymbol r = (6 B - 10 А · 0,5 Ом) / 10 А = 0,1 Ом

Ответ: r = 0,1 Ом.


maksimpilipko4: !!!!!!!!!!!!
maksimpilipko4: байбай
adiyevatalshyn: Т_Т
evuusuw: ☞⁠ ̄⁠ᴥ⁠ ̄⁠☞
adiyevatalshyn: = /
evuusuw: <⁠(⁠ ̄⁠︶⁠ ̄⁠)⁠↗
adiyevatalshyn: ^_^
Аноним: Амогус
adiyevatalshyn: абобус
xtssmooz: Ху,шлебус
Ответ дал: zybkov1950
49

Відповідь: 0,1 Ом

Пояснення:

Приложения:

kiricukdmitro930: всє бб
adiyevatalshyn: UwU
hamitovainabat11: 84s l fn4x3
bedolagalol: кто умеет ролить?
adiyevatalshyn: owo
oleksandramoroz72: я умею
oleksandramoroz72: ролить
aminmirbolat: пон
adiyevatalshyn: лютый пон
aminmirbolat: харош
Вас заинтересует