• Предмет: Физика
  • Автор: HIK3412
  • Вопрос задан 3 года назад

Помогите
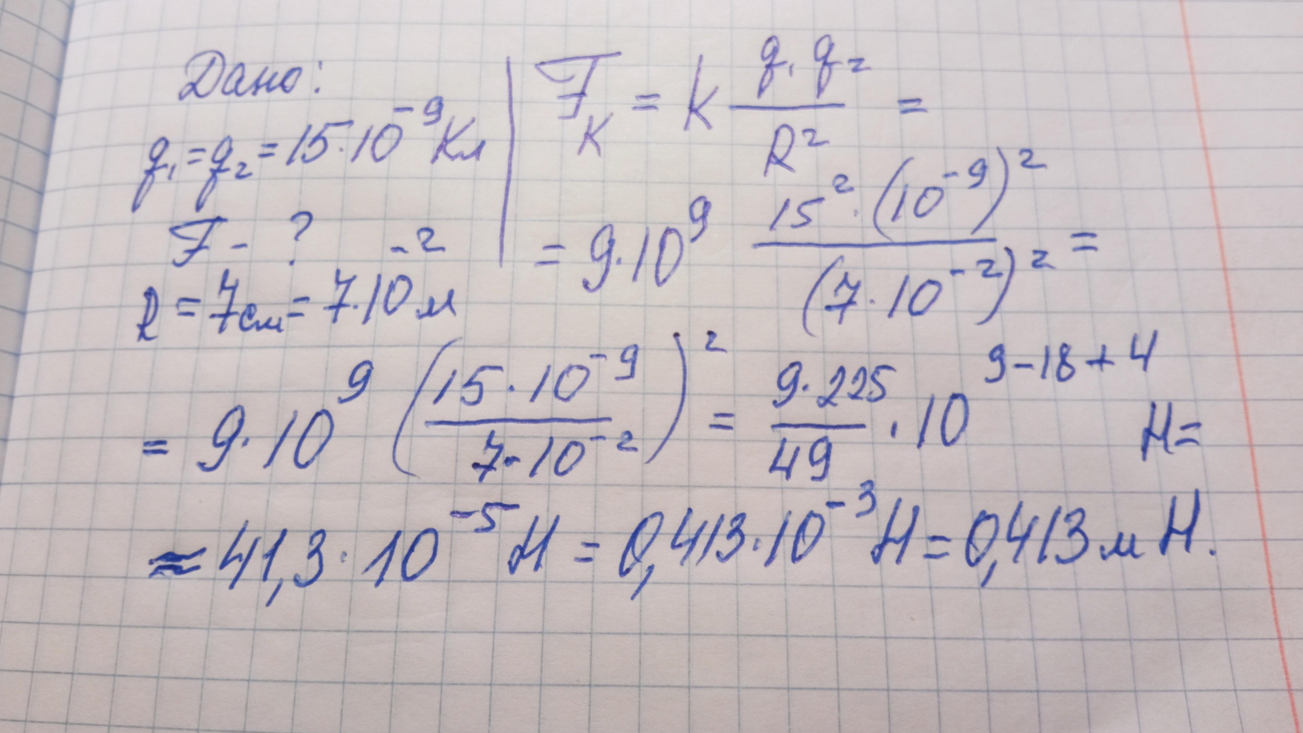
С какой силой взаимодействуют два заряда по 15 нКл каждый на расстоянии 7 см в вакууме? Ответ выразить в мН (миллиньютонах).
[Ответ округлить до двух знаков после запятой. Вводить только числовое значение].

Ответы

Ответ дал: Cohendd
1

Ответ:

Объяснение:..........

Приложения:

Cohendd: Проверьте, пожалуйста
Вас заинтересует