• Предмет: Алгебра
  • Автор: VrFoN
  • Вопрос задан 3 года назад

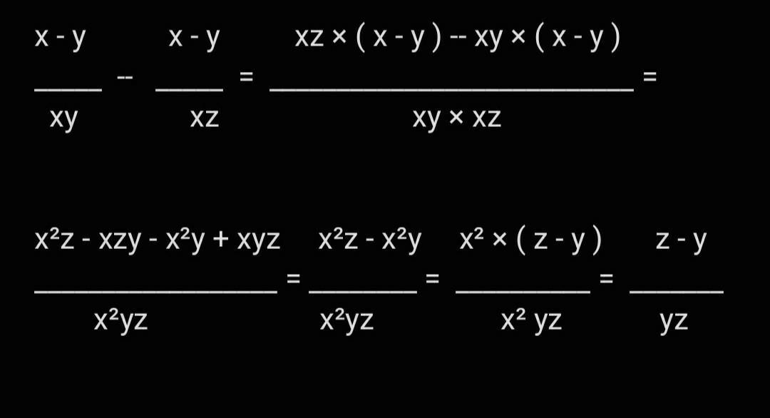
выполните вычитание дробей: x-y/xy-x-z/xz

Ответы

Ответ дал: hasan2445
0

Ответ : z - y

____

yz

llllllllllllllll

Приложения:
Вас заинтересует