• Предмет: Алгебра
  • Автор: billibzin00078
  • Вопрос задан 3 года назад

Помогите пожалуйста!!! Без log ответы. Только 1,2
30 балов

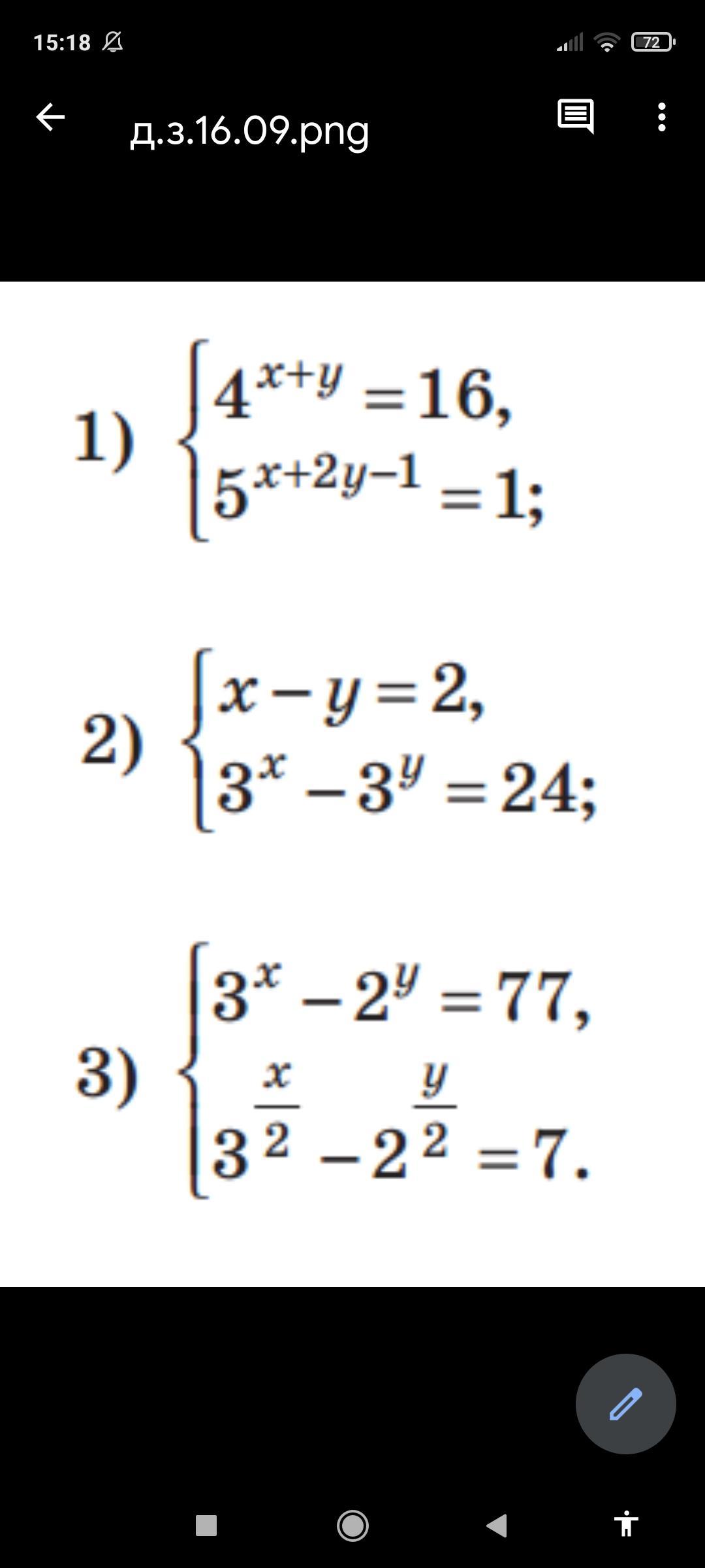
Приложения:

Ответы

Ответ дал: Nade4kaz
0

Ответ:

1) (х,у) = (3,-1)

2) (х,у) = (3,1)

Объяснение

1) 4х+у=4²

  5х+2у-1=1  

  х+у=2

  5х+2у-1=5

   (х,у)=(3, -1)

2) х=2+у

   3х-3у=24

   3²-у-3у=24

   х=2+1

   х=3

   (х,у)=(3, 1)

Вас заинтересует