• Предмет: Физика
  • Автор: fagot90
  • Вопрос задан 3 года назад

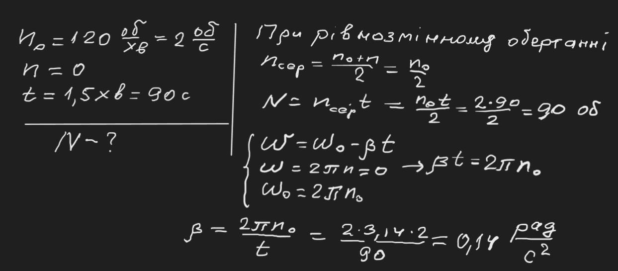
4. Тіло, що обертається з частотою 120 об/хв, зупиняється протягом 1,5 хв. Вважаючи рух рівносповільненим, визначити кількість обертів до по- вної зупинки. З яким кутовим прискоренням зупиняється тіло​

Ответы

Ответ дал: zybkov1950
4

Відповідь:   Див. додаток

Пояснення:

Приложения:
Вас заинтересует