• Предмет: Геометрия
  • Автор: arinagor2009
  • Вопрос задан 3 года назад

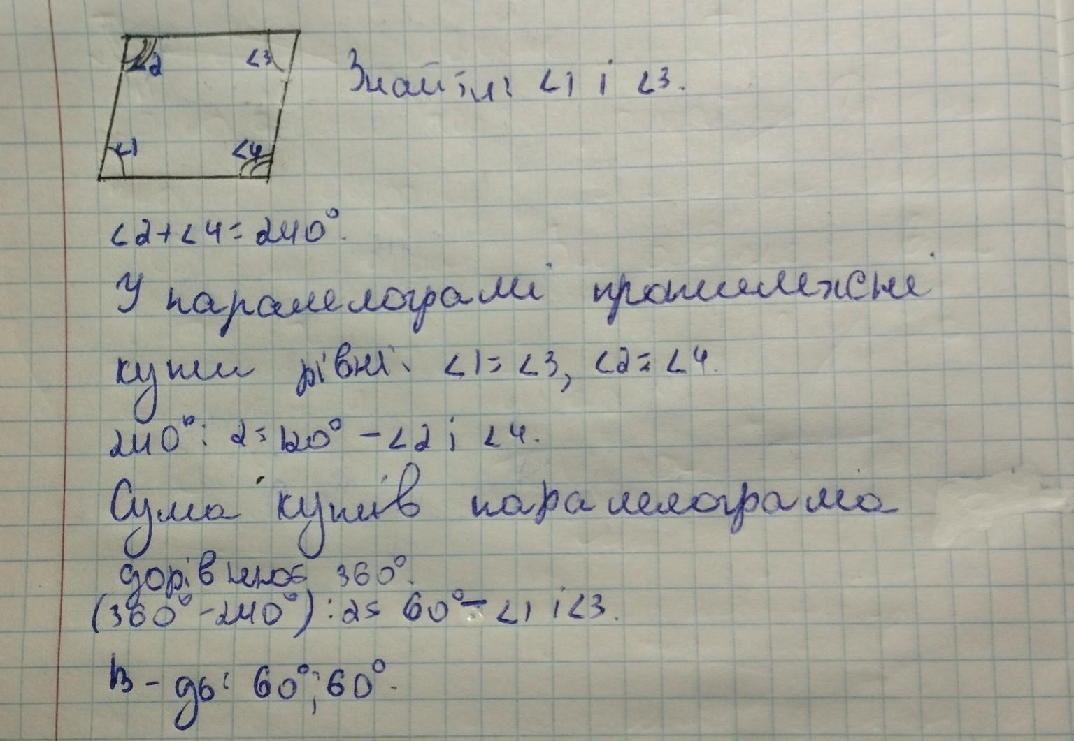
Сума двох кутів паралелограма 240 градусів. Знайти градусну міру сусідніх кутів.

Ответы

Ответ дал: wosksns
4

Ответ:

відповідь на фото ........

Приложения:

ostroverhijdaniil: ето походу не правильный ответ потому что у меня такого выбора ответа в тесте нету
skaramusfatuevic: Буде 120 і 60
wosksns: ви праві, я помилилась. буде 120 і 60
ostroverhijdaniil: Спасибо
ostroverhijdaniil: Ну все ошибаются
wosksns: без проблем)
Вас заинтересует