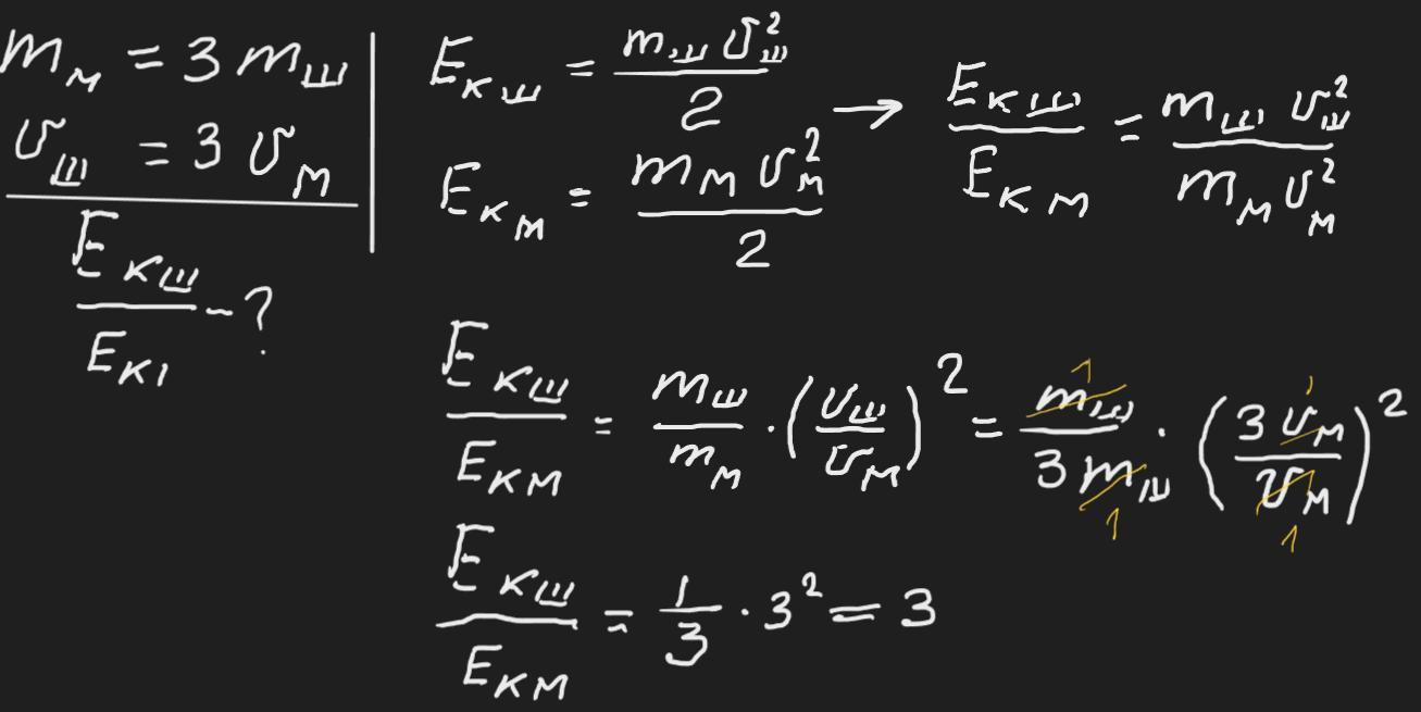
Маса футбольного м'яча в 3 рази більша , а швидкість у 3 рази менша нiж у хокейноï шайби . Порівняти їх кінетичні енергії
Ответы
Ответ дал:
0
W=3m*(v/3)²/2=mv²/(2*3)
Меньше в 3 раза, чем шайба
кінетична енергія шайби більша у 3 рази.
Меньше в 3 раза, чем шайба
кінетична енергія шайби більша у 3 рази.
Ответ дал:
0
Відповідь: кінетична енергія хокейної шайби у 3 рази більша
Пояснення:
Приложения:
Вас заинтересует
2 года назад
2 года назад
2 года назад
8 лет назад
8 лет назад
9 лет назад