• Предмет: Алгебра
  • Автор: thulaya36
  • Вопрос задан 3 года назад

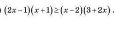
допоможіть будь ласка, дуже потрібно

Приложения:

Ответы

Ответ дал: dmitrostreminskiy
1

Ответ

Объяснение: розв'язок на

Приложения:
Вас заинтересует